Welcome to Heagreen !!! 400-100-0012

中文

知识中心
具有可持续发展和智慧创新能力的卓越企业
不同低聚糖对变异链球菌、牙龈卟啉单胞菌和具核梭杆菌作用的体外研究
发布时间 : 2025.12.12
低聚木糖 口腔病原菌 产酸 黏附性

试验设计

 采用变异链球菌ATCC55676、牙龈卟啉单胞菌ATCCBAA-308和具核梭杆菌ATCC25586作为试验研究对象,先将菌株活化,之后制备为1×106 CFU/mL的标准菌悬液待用。

 分别用木糖醇、低聚半乳糖、XOS、低聚果糖、低聚异麦芽糖和山梨糖醇替换TSB培养基中的葡萄糖制备培养基(浓度为1%),分别接种具核梭杆菌、变异链球菌和牙龈卟啉单胞菌菌悬液,37℃培养36 h,测定低聚糖对口腔病原菌生长特性的影响。后续采用适宜糖醇和低聚糖的浓度及条件,分别测定低聚糖对口腔病原菌产酸能力、生长抑制能力和粘附能力。

试验结果

1)低聚糖对口腔病原菌的生长特性的影响

 如图1所示,不同种类低聚糖对三种菌的生长均有影响,其中XOS组中具核梭杆菌、牙龈卟啉单胞菌和变异链球菌三株菌菌液△OD分别为0.0980.1200.095,均低于其他组别,表明XOS对三种菌生长的影响比其他糖更为明显。


 如图2所示,XOS组与其它组菌液的酸度差异显著,差异均具有统计学意义(P<0.05);XOS组菌液随培养时间的延长pH的变化最小,最低pH>6.0,均高于其它低聚糖和糖醇组;与木糖醇和山梨糖醇相比,四种低聚糖中,XOS对变异链球菌、牙龈卟啉单胞菌和具核梭杆菌的生长和产酸有一定的抑制作用。


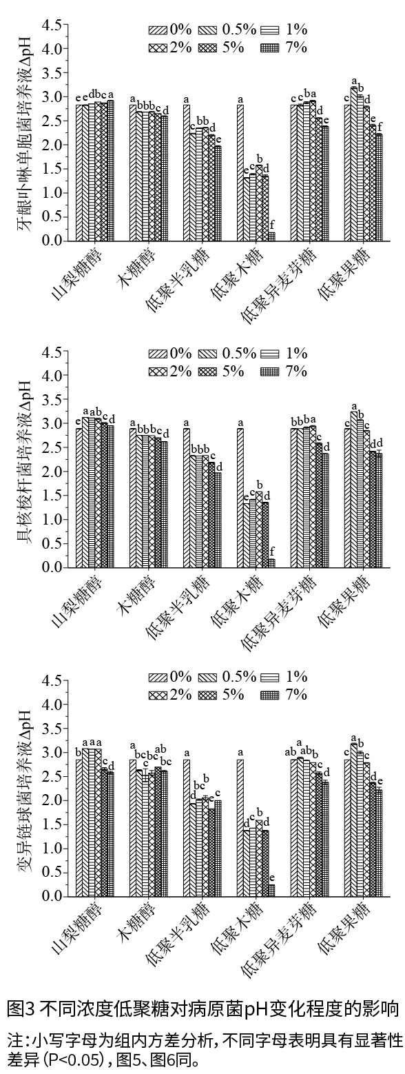
2)不同浓度低聚糖对口腔病原菌产酸能力的影响

 如图3所示,不同浓度的低聚糖和糖醇对菌液酸度有不同的影响,总体来说,添加浓度越高,菌液pH变化越小,即高质量浓度低聚糖可抑制菌体的生长及产酸;当低聚糖添加量≥5%时,它们对三种口腔病原菌产酸水平的抑制作用依次为XOS>低聚半乳糖>低聚果糖>低聚异麦芽糖,差异有统计学意义(P<0.05);XOS组能够显著抑制病原菌产酸,而且随着浓度增加,三种菌液△pH也在减小;其中,7% XOS组的酸度变化最小,表明XOS对变异链球菌、牙龈卟啉单胞菌和具核梭杆菌的产酸能力有明显的抑制作用,△pH分别为0.1750.1800.245。与0%组相比,pH的变化显著降低了93.93%93.64%91.40%P<0.05)。


3)低聚糖对口腔病原菌生长抑制能力的测定

 如表1所示,随着糖醇和低聚糖浓度的增加,对三种菌生长的抑制作用也逐渐增强;其中,当XOS浓度≥5%时,对具核梭杆菌、牙龈卟啉单胞菌和变异链球菌的抑制率>68%


4)低聚糖对口腔病原菌粘附能力的影响

 如表2所示,糖浓度为5%时,XOS对具核梭杆菌和牙龈卟啉单胞菌的黏附率均<50%



试验结论

 本文研究了不同低聚糖对变异链球菌、牙龈卟啉单胞菌和具核梭杆菌生长、产酸和粘附性等的影响,结果显示XOS能够显著影响三种病原菌的生长;当培养基中有葡萄糖时,浓度低至0.5%XOS即能明显抑制三种菌液的产酸能力,1%XOS即可以维持菌液酸度值大于牙釉质脱矿临界酸度值,其浓度越大对菌液产酸的抑制能力越强。以上结果表明,XOS对变异链球菌、牙龈卟啉单胞菌和具核梭杆菌生长、产酸和粘附性具有很强的抑制作用。



参考资料:

杨云, 姜国庆, 鲁绯, . 不同低聚糖对变异链球菌、牙龈卟啉单胞菌和具核梭杆菌作用的体外研究[J].食品工业科技, 2023, 44(05):121-128.